AI For Trading: Quize:Estimate Volatility (27)
Estimate Volatility
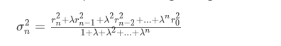
Create an exponential moving average model of volatility. Use the following formula:


import pandas as pd
import numpy as np
def estimate_volatility(prices, l):
"""Create an exponential moving average model of the volatility of a stock
price, and return the most recent (last) volatility estimate.
Parameters
----------
prices : pandas.Series
A series of adjusted closing prices for a stock.
l : float
The 'lambda' parameter of the exponential moving average model. Making
this value smaller will cause the model to weight older terms less
relative to more recent terms.
Returns
-------
last_vol : float
The last element of your exponential moving averge volatility model series.
"""
# TODO: Implement the exponential moving average volatility model and return the last value.
pass
def test_run(filename='data.csv'):
"""Test run get_most_volatile() with stock prices from a file."""
prices = pd.read_csv(filename, parse_dates=['date'], index_col='date', squeeze=True)
print("Most recent volatility estimate: {:.6f}".format(estimate_volatility(prices, 0.7)))
if __name__ == '__main__':
test_run()
为者常成,行者常至
自由转载-非商用-非衍生-保持署名(创意共享3.0许可证)