Go 学习之结构体二叉树 (二)
一、二叉树定义
type Student struct {
Name string
left* Student
right* Student
}
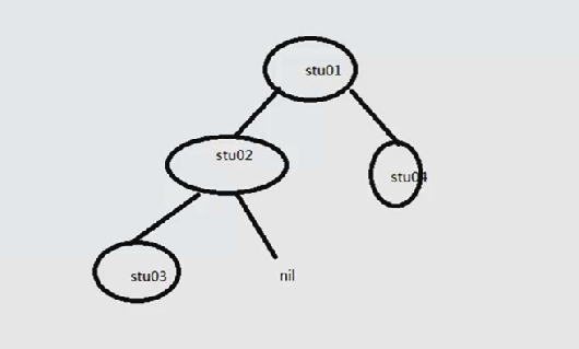
如果每个节点有两个指针分别用来指向左子树和右子树,我们把这样的结构叫做二叉树。
代码练习

前序遍历
package main
import "fmt"
type Student struct {
Name string
Age int
Score float32
left *Student
right *Student
}
func trans(root *Student) {
if root == nil {
return
}
fmt.Println(root)
trans(root.left)
trans(root.right)
}
func main() {
var root *Student = new(Student)
root.Name = "Lily"
root.Age = 18
root.Score = 80
var left1 *Student = new(Student)
left1.Name = "LauChao"
left1.Age = 50
left1.Score = 90
root.left = left1
var right1 *Student = new(Student)
right1.Name = "Andy"
right1.Age = 50
right1.Score = 90
root.right = right1
var left2 *Student = new(Student)
left2.Name = "Xiu"
left2.Age = 50
left2.Score = 90
left1.left = left2
trans(root)
}
结果打印:
&{Lily 18 80 0xc420014150 0xc420014180}
&{LauChao 50 90 0xc4200141b0 <nil>}
&{Xiu 50 90 <nil> <nil>}
&{Andy 50 90 <nil> <nil>}
为者常成,行者常至
自由转载-非商用-非衍生-保持署名(创意共享3.0许可证)